All Courses
SSC CGL
SSC CHSL
SSC Maha Pack
DSSSB
SSC Stenographer
SSC GD
SSC MTS
SSC Selection Post
SSC CPO
Delhi Police
UP Police
Railways Group D
Skill Development Courses
Kamyab Diwas 2026
RRB NTPC
KVS Non Teaching
EMRS Non Teaching
SSC Free Classes
DDA EXAMS
NVS Non Teaching
SSC Exams Books Kit
AFCAT
SSC Exams 2026-27
Delhi High Court
DRDO Technician
JKSSB
Intelligence Bureau
RPF
SSC Books
BSSC Inter Level
SSC Offline Exam
CBSE
MP Police
SSC JHT
UPSSSC
UP Police Constable
CDS
IB ACIO
UPSSSC PET
BSF
RRB JE
Bombay High Court
UP Home Guard
NCERT LDC
Home
Fitter
Fitter
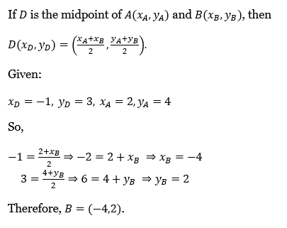
D is the midpoint of line segment AB. The co-ordinates of A and D are (2, 4) and (-1. 3), respectively. The co-ordinates of B are:
Question
D is the midpoint of line segment AB. The co-ordinates of A and D are (2, 4) and (-1. 3), respectively. The co-ordinates of B are:
A.
(4, -5)
B.
(3, 1)
C.
(-4, 2)
D.
(-5, 4)
Solution
Correct option is C
Similar Questions
1)
Which lathe machine attachment is used for relief to multipoint cutting tools _________.
2)
In the process of dressing of grinding wheels to restore sharpness is done by _________.
3)
What is the function of a “pilot” when provided in reamer?
4)
A drift is used for _________.
5)
Which of the following instrument is used for measuring higher temperatures in a fumace?
6)
The distance between the crest & the root of a thread measured normal to the axis is______.
7)
In which forging operation the length of job is reduced & diameter & thickness ofjob are increased?
8)
A wedge like tool is used for removing the taper shank tools from the nose ofthe machine spindle is called _______.
9)
In a brazing operation, which of the following is the commonly used flux?
10)
A work piece is center drilled in the lathe for the purpose of ________.
View More
Access ‘RRB ALP Fitter’ Mock Tests with
60000+ Mocks and Previous Year Papers
Unlimited Re-Attempts
Personalised Report Card
500% Refund on Final Selection
Largest Community
BUY NOW
383k+ students have already unlocked exclusive benefits with Test Prime!
Access ‘RRB ALP Fitter’ Mock Tests with
60000+ Mocks and Previous Year Papers
Unlimited Re-Attempts
Personalised Report Card
500% Refund on Final Selection
Largest Community
BUY NOW
383k+ students have already unlocked exclusive benefits with Test Prime!
Our Plans
Months
BUY NOW
Chat With Us