hamburger menu
All Coursesall course arrow
adda247
reward-icon
adda247
    Question

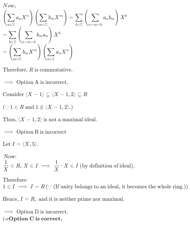
    ​ Consider the ring

    A.

    R is not commutative.

    B.

    is a maximal ideal in R .​

    C.

    is prime ideal in R .​

    D.

     

    is maximal ideal in R.

    Correct option is C


    test-prime-package

    Access ‘CSIR NET Mathematical Sciences’ Mock Tests with

    • 60000+ Mocks and Previous Year Papers
    • Unlimited Re-Attempts
    • Personalised Report Card
    • 500% Refund on Final Selection
    • Largest Community
    students-icon
    368k+ students have already unlocked exclusive benefits with Test Prime!
    test-prime-package

    Access ‘CSIR NET Mathematical Sciences’ Mock Tests with

    • 60000+ Mocks and Previous Year Papers
    • Unlimited Re-Attempts
    • Personalised Report Card
    • 500% Refund on Final Selection
    • Largest Community
    students-icon
    368k+ students have already unlocked exclusive benefits with Test Prime!
    Our Plans
    Monthsup-arrow