hamburger menu
All Coursesall course arrow
adda247
reward-icon
adda247
    arrow
    arrow
    arrow
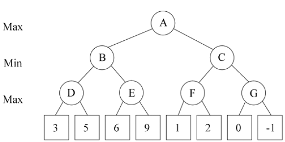
    Consider the given tree below. Calculate the value at the root of the tree using alpha – beta pruning algorithm.
    Question



    Consider the given tree below. Calculate the value at the root of the tree using alpha – beta pruning algorithm.

    A.

    3

    B.

    5

    C.

    6

    D.

    9

    Correct option is B


    Alpha-Beta pruning is an optimization technique for the minimax algorithm used in decision-making and game theory. It reduces the number of nodes evaluated in the search tree, improving performance while maintaining correctness.


    Information Booster:
    1. Alpha (α): The best value that the maximizer can guarantee.
    2. Beta (β): The best value that the minimizer can guarantee.
    3. Pruning: Stops evaluation of branches that cannot affect the final decision.
    4. Optimization: Alpha-Beta pruning reduces time complexity to O(bd/2), where b is the branching factor and d is the depth.
    Additional Knowledge:
    · Minimax Algorithm: A decision rule for minimizing the possible loss for a worst-case scenario.
    · Applications: Used in AI, particularly in chess, tic-tac-toe, and similar games.

    Free Tests

    Free
    Must Attempt

    Basics of Education: Pedagogy, Andragogy, and Hutagogy

    languageIcon English
    • pdpQsnIcon10 Questions
    • pdpsheetsIcon20 Marks
    • timerIcon12 Mins
    languageIcon English
    Free
    Must Attempt

    UGC NET Paper 1 Mock Test 1

    languageIcon English
    • pdpQsnIcon50 Questions
    • pdpsheetsIcon100 Marks
    • timerIcon60 Mins
    languageIcon English
    Free
    Must Attempt

    Basics of Education: Pedagogy, Andragogy, and Hutagogy

    languageIcon English
    • pdpQsnIcon10 Questions
    • pdpsheetsIcon20 Marks
    • timerIcon12 Mins
    languageIcon English
    test-prime-package

    Access ‘UGC NET Computer Science’ Mock Tests with

    • 60000+ Mocks and Previous Year Papers
    • Unlimited Re-Attempts
    • Personalised Report Card
    • 500% Refund on Final Selection
    • Largest Community
    students-icon
    354k+ students have already unlocked exclusive benefits with Test Prime!
    Our Plans
    Monthsup-arrow