Correct option is D
Introduction:
A dividend model explains how a company distributes its profits to shareholders and helps assess the value of its shares. Gordon Growth Model:Values a company’s share based on expected future dividends growing at a constant rate.
Information Booster:
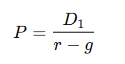
To find the dividend growth rate (g), we use the Gordon Growth Model (Dividend Discount Model - DDM):

where:
- P = Current Price of Share = Rs. 60
- D1 = Dividend per share = Rs. 4
- r = Capitalization rate (Required Rate of Return) = 12% or 0.12
- g = Dividend Growth Rate (to be calculated)
Rearranging the formula to solve for ggg:

Additional Knowledge:
Gordon Growth Model is widely used for valuing stocks with constant dividend growth.
This model assumes that dividends will continue to grow at a constant rate indefinitely.
It is useful for investors who prefer stable dividend-paying companies.
The dividend growth rate (g) is influenced by retained earnings, company profitability, and reinvestment rate.
A company with a high dividend growth rate usually has strong future earnings potential.