Correct option is D
Concept:
A pole of an analytic function is a point at which the function goes to infinity. It is also known as the singularity of the function.
For example, if the function is given as : f(x)=1/x−2. At x = 2, the function will become infinite. So, x = 2 is the singularity point of the function or the pole of the function.
Solution:
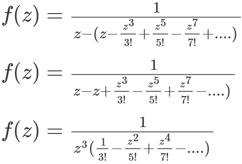
The sine function can be written as :

Substituting the above equation in the function:

Now, this function will become infinity at point z=0.
But the power of z is 3, which states the order of the pole.


