Correct option is C
Explanation:
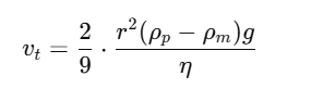
Stoke's Law gives the terminal velocity vtv_tvt of a small spherical particle falling through a viscous fluid:

Where:
· r = radius of the particle (related to size)
· ρp = density of the particle
· ρm = density of the medium
· g = gravitational acceleration
· η = viscosity of the medium
So terminal velocity depends on all five parameters listed: (A), (B), (C), (D), and (E).
Information Booster:
· Terminal velocity is reached when the net force on the falling particle becomes zero (gravitational force balanced by drag and buoyant force).
· This law applies to laminar flow conditions (small Reynolds number).
· Important in sedimentation, pollution control, and fluid mechanics.
Additional Information:
· (a) (B), (D), (E) Only – Incorrect; excludes gravitational acceleration and fluid density.
· (b) (A), (D), and (E) Only – Incorrect; misses density of the particle and medium.
· (d) (A), (B), (C), and (E) Only – Incorrect; excludes particle size.