hamburger menu
All Coursesall course arrow
adda247
reward-icon
adda247
    arrow
    arrow
    arrow
    ABC is a right - angled triangle with ∠ABC = 90°. The centre of the incircle of the given triangle is at O, whose radius is 2 cm. Two more circles wit
    Question

    ABC is a right - angled triangle with ∠ABC = 90°. The centre of the incircle of the given triangle is at O, whose radius is 2 cm. Two more circles with centres at O1 and O2, touch this circle and the two sides as shown in the figure given below.
    Further, MA ∶ MC = 2 ∶ 3.

    What is AB + BC equal to?

    A.

    10cm

    B.

    12cm

    C.

    13cm

    D.

    14cm

    Correct option is D



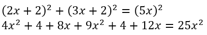
    By Pythagoras theorem

    Now x = 2
    AB+BC = 2x+2+3x+2 = 5x+4 = 5x2+4 = 14

    Free Tests

    Free
    Must Attempt

    Set Theory

    languageIcon English
    • pdpQsnIcon10 Questions
    • pdpsheetsIcon10 Marks
    • timerIcon10 Mins
    languageIcon English
    Free
    Must Attempt

    AAI Junior Executive (ATC) Mock 1

    languageIcon English
    • pdpQsnIcon120 Questions
    • pdpsheetsIcon120 Marks
    • timerIcon120 Mins
    languageIcon English
    Free
    Must Attempt

    Indian Air Force AFCAT II 2025 Mock 01

    languageIcon English
    • pdpQsnIcon100 Questions
    • pdpsheetsIcon300 Marks
    • timerIcon120 Mins
    languageIcon English
    test-prime-package

    Access ‘UPSC CDS’ Mock Tests with

    • 60000+ Mocks and Previous Year Papers
    • Unlimited Re-Attempts
    • Personalised Report Card
    • 500% Refund on Final Selection
    • Largest Community
    students-icon
    383k+ students have already unlocked exclusive benefits with Test Prime!
    Our Plans
    Monthsup-arrow