arrow
arrow
arrow
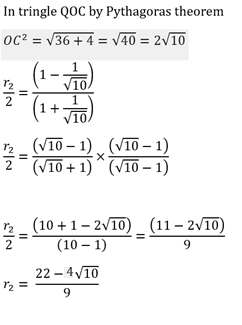
ABC is a right - angled triangle with ∠ABC = 90°. The centre of the incircle of the given triangle is at O, whose radius is 2 cm. Two more circles wit
Question

ABC is a right - angled triangle with ∠ABC = 90°. The centre of the incircle of the given triangle is at O, whose radius is 2 cm. Two more circles with centres at O1 and O2, touch this circle and the two sides as shown in the figure given below.
Further, MA ∶ MC = 2 ∶ 3.

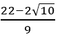
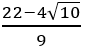
What is the radius of the circle with centre at O2

A.


B.


C.


D.


Correct option is C



Free Tests

Free
Must Attempt

Set Theory

languageIcon English
  • pdpQsnIcon10 Questions
  • pdpsheetsIcon10 Marks
  • timerIcon10 Mins
languageIcon English
Free
Must Attempt

AAI Junior Executive (ATC) Mock 1

languageIcon English
  • pdpQsnIcon120 Questions
  • pdpsheetsIcon120 Marks
  • timerIcon120 Mins
languageIcon English
Free
Must Attempt

Indian Air Force AFCAT II 2025 Mock 01

languageIcon English
  • pdpQsnIcon100 Questions
  • pdpsheetsIcon300 Marks
  • timerIcon120 Mins
languageIcon English
test-prime-package

Access ‘UPSC CDS’ Mock Tests with

  • 60000+ Mocks and Previous Year Papers
  • Unlimited Re-Attempts
  • Personalised Report Card
  • 500% Refund on Final Selection
  • Largest Community
students-icon
383k+ students have already unlocked exclusive benefits with Test Prime!
Our Plans
Monthsup-arrow