Correct option is A
Explanation:
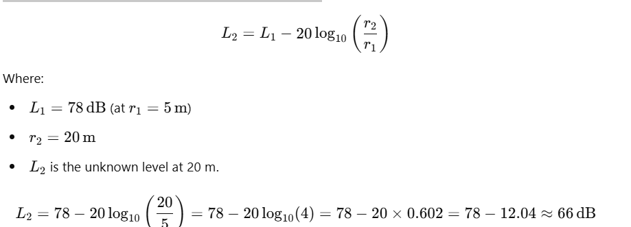
Sound intensity from a point source decreases with the square of the distance. This is described by the inverse square law. In terms of decibels, the formula is:

Information Booster:
· Every time the distance is doubled, the sound level drops by approximately 6 dB.
· A 4x increase in distance results in a 12 dB drop in sound pressure level.
Additional Information:
· 69 dB, 72 dB, and 75 dB are incorrect because they reflect smaller reductions than the actual fall-off over a 4x increase in distance.
· This principle is crucial in noise pollution control, urban planning, and environmental impact assessments.