Correct option is A
given that a man sells two tables at the same price.
On one table, he makes a profit of 10%.
On the other table, he suffers a loss of 10%.
We need to find the overall profit or loss percentage.
Step 1: Let the Selling Price (SP) be x for each table
Since both tables are sold at the same price, we assume:
Selling Price of each table=x
Step 2: Find the Cost Price (CP) for Each Table
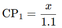
For the first table (10% profit)

For the second table (10% loss)

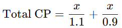
Step 3: Find the Total Cost Price and Total Selling Price
Total CP:

Finding LCM of 1.1 and 0.9:

Total SP: Total SP = x + x = 2x
Step 4: Find Overall Profit or Loss

Step 5: Find the Loss Percentage

Thus, the overall transaction results in a 1% loss.