Correct option is B


Members | Work Name |
A | Actor |
B | Engineer |
Z | Scientist |
X | Painter |
Y and C | Cricketers |


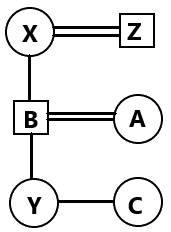
Members | Work Name |
A | Actor |
B | Engineer |
Z | Scientist |
X | Painter |
Y and C | Cricketers |
In a school, there were five teachers. A and B were teaching Sanskrit and Maths. C and B were teaching Maths and History. D and A were teaching Hindi and Sanskrit. E and B were teaching Geography and Spanish.
More than two teachers were teaching which subjects?
From a group of five students, A, Q, B, S and C, and three teachers D, E and F, a team of five has to be selected on the basis of the following criteria.
The team must have only one teacher.
Teacher E cannot be on the same team as student Q.
Student S cannot be in a team without student A.
Student B and student C cannot be on the same team as student Q.
Based on the given information, which of the following teams will be formed?
Group captain is selecting 5 members out of A,B,C,D,E,F,P,Q,R and T for his team A,E and F can only be selected together. If B is selected then neither Q nor D can be selected. C cannot be selected with E or F. Only one can be selected form B or T. Which of the following selection is correct?
Five air hostesses, A, B, C, D, and E like one among different colours namely Green, Blue, White, Black, and Pink (not necessarily in the same order). They are from one among different airlines namely Go Air, Emirates, Vistara, Spice Jet and Jet Lite (not necessarily in the same order). No two air hostesses like the same colour and they are not from the same airlines. B likes White colour and is from Spice Jet airline. D is from Vistara airline and does not like Pink or Blue colour. A is not from Jet Lite and Go Air. The one who is from Go Air Airlines likes Black colour. C does not like Black colour and is not from Emirate Airlines. Which of the following combinations of air hostess, colour and airline is definitely correct?
Suggested Test Series
Suggested Test Series