hamburger menu
All Coursesall course arrow
adda247
reward-icon
adda247
    arrow
    arrow
    arrow
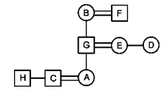
    A, B, C, D, E, F, G and H are eight members of a family. H is the brother of C. A is C's wife. C is the son-in-law of G. D is the sister of E.G is the
    Question

    A, B, C, D, E, F, G and H are eight members of a family. H is the brother of C. A is C's wife. C is the son-in-law of G. D is the sister of E.G is the son of B. E is the wife of G.B is the wife of F. How is E related to B?

    A.

    Husband's sister

    B.

    Brother's daughter

    C.

    Daughter-in-law

    D.

    Daughter

    Correct option is C


    Given:
    A, B, C, D, E, F G and H are eight members of a family
    1) H is the brother of C.
    2) A is C's wife.
    3) C is the son-in-law of G.
    4) G is the son of B.
    5) E is the wife of G.
    6) D is the sister of E.
    7) B is the wife of F.

    Hence, E is the  "Daughter-in-law " of B.

    Similar Questions

    test-prime-package

    Access ‘DDA JE’ Mock Tests with

    • 60000+ Mocks and Previous Year Papers
    • Unlimited Re-Attempts
    • Personalised Report Card
    • 500% Refund on Final Selection
    • Largest Community
    students-icon
    368k+ students have already unlocked exclusive benefits with Test Prime!
    test-prime-package

    Access ‘DDA JE’ Mock Tests with

    • 60000+ Mocks and Previous Year Papers
    • Unlimited Re-Attempts
    • Personalised Report Card
    • 500% Refund on Final Selection
    • Largest Community
    students-icon
    368k+ students have already unlocked exclusive benefits with Test Prime!
    Our Plans
    Monthsup-arrow