Correct option is B

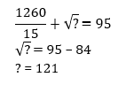
What will come in the place of question (?) mark in the following question.

If 3ˣ × 9¹⁵ × 27⁶ = 81¹⁶, then the value of x is:
Value of is equal to:
The value of is
Simplify the following.
What digit would come in the place of * in the following multiplication?
(427) × (2*6) = 126392
on simplification gives
Evaluate:
16 + 8 ÷ 4 − 3 × 4
Evaluate:
(−9) − (−60) ÷ (−12) + (−4) × 8
The value of 66 - 2 × [ 10 + 2 × { 18 - 2 ( 7 - 4 ) × 3} ÷ 50] is:
Evaluate: (-9) - (-60) ÷ (-12) + (-4) × 7
Suggested Test Series
Suggested Test Series