Top 20 Arithmetic MCQS For OSSSC Accountant, DEO 30 March 2024
Q1. In two types of brass, the ratio of copper to zinc are 7: 4 and 2: 9 respectively if the two types of brass be melted and mixed in the ratio 6: 5, a new type of brass is obtained. Find the ratio of copper to zinc in this new type of brass.
(a) 52: 51
(b) 13: 35
(c) 52: 69
(d) 35: 13
S1 Ans.(c)
Sol.

Q2. A man travelled a distance of 61 km in 9 hours, partly on foot at the rate of 4 km/hr. and partly on bicycle at the rate of 9 km/ hr. The distance travelled on foot was?
(a) 12 km
(b) 16 km
(c) 20 km
(d) 24 km
S2.Ans. (b)
Sol.

Q3. ![]()
(a) 0
(b) 111
(c) 50
(d) 100
S3.Ans. (d)
Sol.

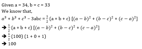
Q4. 
(a)73/77
(b) 77/73
(c) 2/75
(d) 75/2
S4.Ans(a)
Sol.

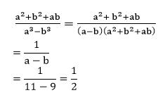
Q5. 
(a) 1/2
(b) 2
(c) 1/20
(d) 20
S5.Ans(a)
Sol.

Q6

(a) 1000
(b) 999
(c) 998
(d) 1002
S6.Ans(a)
Sol.

Q7. If X : Y : Z = 3 : 4 : 5, then what will be the ratio of (X/Y) : (Y/Z) : (Z/X)?
(a) 5 : 4 : 3
(b) 30 : 40 : 27
(c) 45 : 48 : 100
(d) 20 : 15 : 12
S7. Ans. (c)
Sol. We have,
X: Y: Z = 3: 4: 5
X/Y : Y/Z :Z/X = 3/4: 4/5:5/3=45:48:100
Q8. Average of the height of 251 students of a school is 48. If the average of the height of the boys is 51 and the average of the height of the girls is 29, then what will be the ratio of the total height of boys and the total height of girls respectively?
(a) 323 : 29
(b) 31 : 441
(c) 29 : 323
(d) 441 : 23
S8. Ans. (a)
Sol.

Now, Required ratio
= 323: 29
Q9. What is the average of first 19 odd numbers?
(a) 9.5
(b) 15.5
(c) 19
(d) 38
S9. Ans.(c)
Sol.
Average of first odd n numbers is n
So, required average = 19
Q10. The least number that must be subtracted from 19325 to make the result a perfect square is.
(a) 5
(b) 2
(c) 4
(d) 12
S10. Ans.(c)
Sol.
19321 is perfect square of 139, so required no. is 4.
Q11. C and D started a business by investing Rs 4000 and Rs 5000 respectively. After 3 months, C withdraws Rs 1000 while D invest Rs 1000 more after 6months of the starting of business. At the end of the year C’s share is Rs 3900. What will be the total profit (in Rs) at the end of year?
(a) 7800
(b)10500
(c) 8400
(d) 12200
S11. Ans.(b)
Sol. 10500
Q12. What will be the maximum power of 8 that exactly divides 25!?
(a) 6
(b) 7
(c) 8
(d) 9
S12. Ans.(b)
Sol. maximum power can be 7
Q13. The average height of 40 sticks is 154 cm. Some sticks of average height 160 cm are taken out. If the new average height is 150 cm, then how many sticks are remaining?
(a) 12
(b) 16
(c) 24
(d)28
S13. Ans.(c)
Sol.
Let x sticks are taken out
ATQ,
40 × 154 – 160x = 150 (40– x)
⇒ x = 16
⇒ 40 – 16 = 24 sticks are remaining
Q14. A number is first increased by 20% and then it is decreased by 10%. Find the net increase or decrease per cent.
(a) 3% increase
(b) 2% decrease
(c) 5% decrease
(d) 8% increase
S14. Ans.(d)
Sol.
Let no. be 100x
ATQ, 100x × 120/100 × 90/100 =108x
Net increase = 8%
Q15. In an ornament, the ratio of gold and copper is 3 : 2. The percentage of gold in the ornament is
(a) 60 %
(b) 40%
(c) 30%
(d) 20%
S15. Ans.(a)
Sol.
Required percentage = 3/(2+3) ×100%
= 60%
Q16. A boat moves down stream at the rate of 8 kmph and upstream at 4 kmph. The speed of boat in still water is
(a) 4.5 kmph
(b) 5 kmph
(c) 6 kmph
(d) 6.4 kmph
S16. Ans.(c)
Sol.
Speed of boat = (8+4)/2=6 kmph
Q17. A, B and C enter into a partnership. They invest Rs 40000, Rs 80000 and Rs 120000 respectively. AT the end of the first year, B withdraws Rs 40,000, while at the end of the second year, C withdraws Rs 80000. In what ratio will the profit be shared at the end of 3 yrs?
(a) 2 : 3 : 5
(b) 3 : 4 : 7
(c) 4 : 5 : 9
(d) None of these
S17. Ans.(b)
Sol.
A : B : C = (40000× 12) : (80000× 12 + 40000 x 24) : (120000 × 24 + 40000 x 12)
= 3 : 4 : 7
Q18. Sum of the digits of a two-digit number is 12. When 18 is deduced from the number, the digits change their positions. Find the number.
(a) 84
(b) 48
(c) 75
(d) None of these
S18. Ans.(c)
Sol. 75
Q19. The ages of A and B are in the ratio 5:7. Five years ago, their ages were in the ratio 5:8. The respective present ages (in years) are:
(a) 20,28
(b) 15,21
(c) 25,40
(d) 10,14
S19. Ans.(b)
Sol.
Present age = 15, 21.
Q20. Select the number pair in which the two numbers are related in the same way as are the two numbers of the following number pair.
31 : 11
(a) 223 : 131
(b) 214 : 112
(c) 72 : 31
(d) 64 : 8
S20. Ans.(a)
Sol.
31 : 11
3³+4 : +3
223 : 131
+7 : 5³+6




